作者:实验室专员 来源:依利特 2025-09-16 10:59:11
1、前言
微流量泵是泵的一个发展趋势。微流量泵通常可以分为小流量、微小流量和超微小流量三个层面,其中超微小流量测量其流量范围在 1mL/min 甚至几 nL/min 内。为了更好地实现微 / 纳流量流体输出,本解决方案利用依利特公司生产的 EPP 计量泵系列,通过 PEEK 管 / SS316L 不锈钢管路分流方法,使泵达到稳定微流量液体输送的要求。
依利特通过 EPP010 计量泵、SS316L 不锈钢三通和 PEEK 管 / SS316L 不锈钢管路,为 EPP 计量泵稳定的微流量输送提出了解决方案,供相关人员参考使用。
2、仪器配置
EPP010 计量泵是依利特自主研发的中、高压计量泵,具有流速精确、压力稳定、耐腐蚀等优点,有多种材质可以选择。其运用微处理器控制、双驱动平行泵头设计,多点流量曲线校正,流量精准。可随系统压力变化流速自动补偿,保证流速的平稳。柱塞杆采用小凸轮驱动设计,有效控制流体压力脉动??晒惴菏视糜诟咝J笛槭摇⒖蒲锌?、医药制造、生物技术、石油化工及特殊领域如高精度催化剂进样、微反应器进料等,可满足不同客户需求。
2.1 EPP 微流量配置清单

3、EPP 微流量分流系统的建立

3.3 微流量分流系统装置
图 3-1 微流量分流系统装置
1. 储液瓶;2. 输液泵;3.SS316L 不锈钢三通;4.PEEK 管 / SS316L 不锈钢管路
3.5 应用实验举例
3.5.1 实验 1. EPP010 计量泵做微流量分流,将 1mL/min 流速分流成 1μL/min
分流比 R 为 1:999。(分流比较大时,所选的两个管路半径也应相差较大)
方案 1:
通过 PEEK 管 / SS316L 不锈钢管路分流比数学表达式计算,可选取内径为 0.04”I.D.、长为 256mm 的 PEEK 管作为支路 1;内径为 0.01”I.D.、长为 999mm 的 PEEK 管作为支路 2,则支路 2 的流量即为 1μL/min。

3.5.2 实验 2. EPP010 计量泵做微流量分流,将 1mL/min 流速分流成 10μL/min
分流比 R 为 1:99。
方案 2:
通过 PEEK 管 / SS316L 不锈钢管路分流比数学表达式计算,可选取内径为 0.04”I.D.、长为 16cm 的 PEEK 管作为支路 1;内径为 0.02”I.D.、长为 99cm 的 PEEK 管作为支路 2,则支路 2 的流量即为 10μL/min。

3.5.3 实验 3. EPP010 计量泵做微流量分流,将 1mL/min 流速分流成 100μL/min
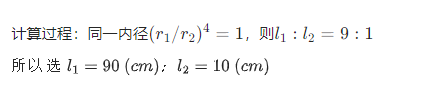
分流比 R 为 1:9。(比例相差不多时,可用同一内径管路)
方案 3:
通过 PEEK 管 / SS316L 不锈钢管路分流比数学表达式计算,可选取内径为 0.007”I.D.、长为 90cm 的 PEEK 管作为支路 1;内径为 0.007”I.D.、长为 10cm 的 PEEK 管作为支路 2,则支路 2 的流量即为 100μL/min。

4、结论
本方案用于 EPP010 计量泵微流量实验,参考张聪的《微 / 纳流量测量方法的研究与应用》的论文理论,用商品化 EPP010 计量泵借助 PEEK 管 / SS316L 不锈钢管路分流模式可以得到准确稳定的微流量。该方案操作简便、实用性强,可满足用户对微流量泵的需求。
订货信息

完整方案(PDF 版)下载提示
上述内容为《EPP010 计量泵微流量解决方案》核心摘要,完整 PDF 文档包含以下关键内容,点击链接即可获?。?/span>
高清资料:图 3-1 微流量分流系统装置高清装配图、不同管路材质(PEEK/SS316L)实物对比图;
计算工具:分流比快速计算表(含 10 + 组常用流量组合的管路参数推荐)、流量补偿系数修正公式及示例;
应用数据:3 组实验的实际流量稳定性测试报告(RSD<1.5%)、不同压力下(0-10MPa)的流量偏差数据;
操作指南:管路连接分步示意图、计量泵流速校准步骤及视频教程。
下载通道
直接下载:m.n398x5.cn/EPP010 计量泵微流量解决方案
技术咨询:400-66-35483